Sample Letter Of Request For Zoning Certificate

Wfa400 4 Zone Smart Streamer Cover Letter Sample Confidentiality Form Dayton Audio Division Of Parts Express

Wfa400 4 Zone Smart Streamer Cover Letter Sample Confidentiality Form Dayton Audio Division Of Parts Express

The Amazing Bank Account Certificate Letter Sample Copy Fresh 10 Closing For Practical Completion Certificate Tem In 2020 Certificate Templates Letter Sample Lettering

The Amazing Bank Account Certificate Letter Sample Copy Fresh 10 Closing For Practical Completion Certificate Tem In 2020 Certificate Templates Letter Sample Lettering

101 Sample Request Letters Writing Letters Formats Examples

101 Sample Request Letters Writing Letters Formats Examples

Q C Amended Zoning Ordinance

Q C Amended Zoning Ordinance

Form Sf 1105 Download Printable Pdf Or Fill Online State Certified Handgun Training School Application Tennessee Templateroller

Form Sf 1105 Download Printable Pdf Or Fill Online State Certified Handgun Training School Application Tennessee Templateroller

Http Www Vpic Info Publications Reports Developmentreviewtemplates Pdf

Http Www Vpic Info Publications Reports Developmentreviewtemplates Pdf

Sample Letter For Request For Tax Clearance Form Download Template

Sample Letter For Request For Tax Clearance Form Download Template

Sample Job Transfer Request Letter Format Due To Marriage Hr Letter Formats

Sample Job Transfer Request Letter Format Due To Marriage Hr Letter Formats

Letter Of Request For Financial Assistance Sample Templates

Letter Of Request For Financial Assistance Sample Templates

Business Procedures In Rwanda

Business Procedures In Rwanda

Sample Letter To Planning Board Fill Online Printable Fillable Blank Pdffiller

Sample Letter To Planning Board Fill Online Printable Fillable Blank Pdffiller

23 Business Letterhead Templates Branding Tips

23 Business Letterhead Templates Branding Tips

Message And Delivery Service Pricer Work Experience Certificate

Message And Delivery Service Pricer Work Experience Certificate

Hxs T370 Smart Sweeping Robot Cover Letter Sample Confidentiality Form Qingdao Haier Robot

Hxs T370 Smart Sweeping Robot Cover Letter Sample Confidentiality Form Qingdao Haier Robot

16 Experience Letter Format Templates Pdf Free Premium Templates

16 Experience Letter Format Templates Pdf Free Premium Templates

Invitation Letter For Schengen Visa Letter Of Invitation For Visa Visa Reservation

Invitation Letter For Schengen Visa Letter Of Invitation For Visa Visa Reservation

Submit Online Request

Submit Online Request

Http Www Bockandclark Com Data Sites 23 Assets Pdfs Bc Standard Zoning Report Sample Pdf

Http Www Bockandclark Com Data Sites 23 Assets Pdfs Bc Standard Zoning Report Sample Pdf

50 Certificate Of Compliance Templates Pdf Doc Excelshe

50 Certificate Of Compliance Templates Pdf Doc Excelshe

Application Forms Submittal Requirements Collier County Fl

Application Forms Submittal Requirements Collier County Fl

43 Effective Appeal Letters Financial Aid Insurance Academic

43 Effective Appeal Letters Financial Aid Insurance Academic

Https Www Johnscreekga Gov Jcga Media Pdf Bza V 19 003 Complete Application Pdf

Https Www Johnscreekga Gov Jcga Media Pdf Bza V 19 003 Complete Application Pdf

Procedures Sops Cda

Procedures Sops Cda

Rules On Work Permits In The Cayman Islands Cayman Resident

Rules On Work Permits In The Cayman Islands Cayman Resident

Issuance Of Certificate Of Non Coverage Cnc For Category C Projects Manual Environmental Management Bureau Region 1

Issuance Of Certificate Of Non Coverage Cnc For Category C Projects Manual Environmental Management Bureau Region 1

Https Www Sccgov Org Sites Cpd Programs Cfo Documents Cfo Application Pdf

Https Www Sccgov Org Sites Cpd Programs Cfo Documents Cfo Application Pdf

Sample Filled Rto Form 26 How To Fill Form 26 For Duplicate Rc

Sample Filled Rto Form 26 How To Fill Form 26 For Duplicate Rc

Https Www Castrovilletx Gov Documentcenter View 709 Zoning Verification Request

Https Www Castrovilletx Gov Documentcenter View 709 Zoning Verification Request

Sample Format Zone Plan Township Of Lakewood

Sample Format Zone Plan Township Of Lakewood

Zoning Image Quotation 8 Sualci Quotes

Zoning Image Quotation 8 Sualci Quotes

Https Encrypted Tbn0 Gstatic Com Images Q Tbn And9gcsb4twkdozyrlbv Dm Pn966fp6ke3cb1gu2irq 81n5za51zmr Usqp Cau

Https Encrypted Tbn0 Gstatic Com Images Q Tbn And9gcsb4twkdozyrlbv Dm Pn966fp6ke3cb1gu2irq 81n5za51zmr Usqp Cau

Https Www Bloomfieldct Gov Zoning Board Appeals Files Zba Application Form

Https Www Bloomfieldct Gov Zoning Board Appeals Files Zba Application Form

Onestop Building City Of New Orleans

Onestop Building City Of New Orleans

Https Www Hanovertownship Com Documentcenter View 248 Instructions For Variance For Single Family Or Two Family Residential Property Pdf

Https Www Hanovertownship Com Documentcenter View 248 Instructions For Variance For Single Family Or Two Family Residential Property Pdf

18d7ea3 Novocast Cover Letter Sample Confidentiality Form Delta Electronics Orporated

18d7ea3 Novocast Cover Letter Sample Confidentiality Form Delta Electronics Orporated

Free Certificate Of Occupancy Sample Templates Example

Free Certificate Of Occupancy Sample Templates Example

Https Www Cityofvallejo Net Common Pages Displayfile Aspx Itemid 2271619

Https Www Cityofvallejo Net Common Pages Displayfile Aspx Itemid 2271619

Https Www Nj Gov Dep Rules Rules Njac7 7 Pdf

Https Www Nj Gov Dep Rules Rules Njac7 7 Pdf

Http Www7 Mississauga Ca Documents Pb Main 2016 Requestzoningletter Pdf

Http Www7 Mississauga Ca Documents Pb Main 2016 Requestzoningletter Pdf

Https Westwoodps Com Media 1215

Https Westwoodps Com Media 1215

Https Westwoodps Com Media 1215

Https Westwoodps Com Media 1215

Morehead City Nc

Morehead City Nc

Https Www Orlando Gov Files Sharedassets Public Departments Edv City Planning Other Documents Zoningverificationapp 1 Pdf

Https Www Orlando Gov Files Sharedassets Public Departments Edv City Planning Other Documents Zoningverificationapp 1 Pdf

Configuring Alma Letters Ex Libris Knowledge Center

Configuring Alma Letters Ex Libris Knowledge Center

Site Plan Control Applications City Of Toronto

Site Plan Control Applications City Of Toronto

Https Www Miamibeachfl Gov Wp Content Uploads 2020 08 Building Sop 8 11 2020 Pdf

Https Www Miamibeachfl Gov Wp Content Uploads 2020 08 Building Sop 8 11 2020 Pdf

2

2

Sample Letter Regarding Invoice For Services Rendered Template Download From Accounting And Finance Invoices

Sample Letter Regarding Invoice For Services Rendered Template Download From Accounting And Finance Invoices

Fillable Online Zoning Certification Letter Request City Of Statesboro Fax Email Print Pdffiller

Fillable Online Zoning Certification Letter Request City Of Statesboro Fax Email Print Pdffiller

Http Www Perryvillemd Org Planning Zoning Files Letter Of Authorization Form

Http Www Perryvillemd Org Planning Zoning Files Letter Of Authorization Form

Zoning Section Anne Arundel County Md

Zoning Section Anne Arundel County Md

Http Www Bockandclark Com Data Sites 23 Assets Pdfs Bc Standard Zoning Report Sample Pdf

Http Www Bockandclark Com Data Sites 23 Assets Pdfs Bc Standard Zoning Report Sample Pdf

How To Read An Elevation Certificate Gulfshore Insurance

How To Read An Elevation Certificate Gulfshore Insurance

A Letter Of Request And Or Support Of A Zoning Change For The 4400 And Pdf Free Download

A Letter Of Request And Or Support Of A Zoning Change For The 4400 And Pdf Free Download

Formal Letter Writing For Class 9 Icse Format Examples Topics Samples Exercises A Plus Topper

Formal Letter Writing For Class 9 Icse Format Examples Topics Samples Exercises A Plus Topper

Records Disposition Request And Authorization Form Mtas

Records Disposition Request And Authorization Form Mtas

Http Www Villageofoldwestbury Org Documentcenter View 148 Sample Architects Certification Letter Format Pdf

Http Www Villageofoldwestbury Org Documentcenter View 148 Sample Architects Certification Letter Format Pdf

Application Forms Submittal Requirements Collier County Fl

Application Forms Submittal Requirements Collier County Fl

18 Experience Letter Templates In Pdf Free Premium Templates

18 Experience Letter Templates In Pdf Free Premium Templates

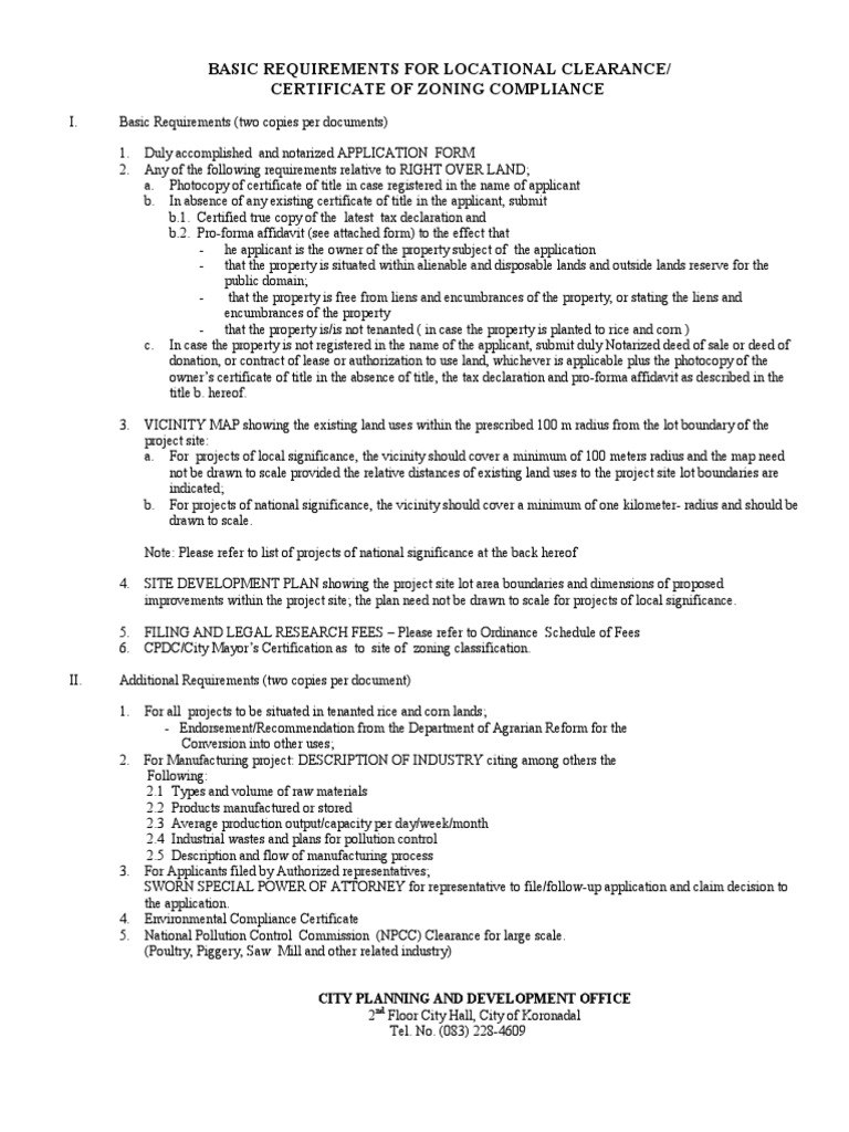
Application For Locational Clearance Certificate Of Zoning Compliance Common Law Politics

Application For Locational Clearance Certificate Of Zoning Compliance Common Law Politics

Faqs Cross Country

Faqs Cross Country

Sample Replacement Letter Employee

Sample Replacement Letter Employee

Https Encrypted Tbn0 Gstatic Com Images Q Tbn And9gcqfb0imc9oevdp3pj9yhre70le18gum3luaoei1jo3mpre66h4x Usqp Cau

Https Encrypted Tbn0 Gstatic Com Images Q Tbn And9gcqfb0imc9oevdp3pj9yhre70le18gum3luaoei1jo3mpre66h4x Usqp Cau

Https Www1 Nyc Gov Assets Buildings Pdf Lno Lov Form Pdf

Https Www1 Nyc Gov Assets Buildings Pdf Lno Lov Form Pdf

Certification On Zonal Values Devolved To Rdos Grant Thornton

Certification On Zonal Values Devolved To Rdos Grant Thornton

Http Www Peza Gov Ph Issuances Guidelines Guidelines Ptl Pdf

Http Www Peza Gov Ph Issuances Guidelines Guidelines Ptl Pdf

Https Mes Gov In Sites Default Files Policy 20letters 202006 0 Pdf

Https Mes Gov In Sites Default Files Policy 20letters 202006 0 Pdf

Williams Request For Pre Filing Review On Transco Northeast Supply En

Williams Request For Pre Filing Review On Transco Northeast Supply En

Letter Of Good Standing What Is It And How To Get It

Letter Of Good Standing What Is It And How To Get It

Https Irosin Gov Ph 2017 11 Page 3 Print Pdf Search

Https Irosin Gov Ph 2017 11 Page 3 Print Pdf Search

Https Encrypted Tbn0 Gstatic Com Images Q Tbn And9gcs2uuoqkdcvdbfimr6k1xfxieuvdoo6z8g8myflec2 Ivyz Xrz Usqp Cau

Https Encrypted Tbn0 Gstatic Com Images Q Tbn And9gcs2uuoqkdcvdbfimr6k1xfxieuvdoo6z8g8myflec2 Ivyz Xrz Usqp Cau

Https Cmvny Com Wp Content Uploads 2011 05 Certificate Of Tenancy Application Pdf

Https Cmvny Com Wp Content Uploads 2011 05 Certificate Of Tenancy Application Pdf

Send In Stock Certificates Fidelity

Send In Stock Certificates Fidelity

Https Www Pinellascounty Org Drs Pdf Zoning Certification Letter Detailed Pdf

Https Www Pinellascounty Org Drs Pdf Zoning Certification Letter Detailed Pdf

How To Get An Invitation Letter Pu Letter In China Baseinshanghai

How To Get An Invitation Letter Pu Letter In China Baseinshanghai

Https Hlurb Gov Ph Wp Content Uploads Laws And Issuances Policies Markets Pdf

Https Hlurb Gov Ph Wp Content Uploads Laws And Issuances Policies Markets Pdf

Https Www Jhmc Com Ph Wp Content Uploads 2019 11 Application For Certificate Of Occupancy Pdf

Https Www Jhmc Com Ph Wp Content Uploads 2019 11 Application For Certificate Of Occupancy Pdf

Https Www Greenwichct Gov Documentcenter View 1324 Certificate Of Mailing Pdf

Https Www Greenwichct Gov Documentcenter View 1324 Certificate Of Mailing Pdf

Quotation Letter Email Samples How To Ask And Reply

Quotation Letter Email Samples How To Ask And Reply

Http Www Villageofjustice Org Zoning 20petition 20applications Docx Pdf

Http Www Villageofjustice Org Zoning 20petition 20applications Docx Pdf

Application For Locational Clearance Makati City Form

Application For Locational Clearance Makati City Form

Https Encrypted Tbn0 Gstatic Com Images Q Tbn And9gcro4fiqt4 Nxklylq Wz Jjecpdvefimka8 Vj2aoxtykto1pmt Usqp Cau

Https Encrypted Tbn0 Gstatic Com Images Q Tbn And9gcro4fiqt4 Nxklylq Wz Jjecpdvefimka8 Vj2aoxtykto1pmt Usqp Cau

Zoning New Castle County De Official Website

Zoning New Castle County De Official Website

Sample Letter For Delay In Project Completion To Use Or Copy

Sample Letter For Delay In Project Completion To Use Or Copy

Andover Township Forms And Applications

Andover Township Forms And Applications

Https Ec Europa Eu Transparency Regdoc Rep 3 2015 En 3 2015 8182 En F1 2 Annex 2 Pdf

Https Ec Europa Eu Transparency Regdoc Rep 3 2015 En 3 2015 8182 En F1 2 Annex 2 Pdf

China Working Z Visa And China Work Permit Application Service In Shanghai

China Working Z Visa And China Work Permit Application Service In Shanghai

Https Www Jhmc Com Ph Wp Content Uploads 2019 11 Application For Certificate Of Occupancy Pdf

Https Www Jhmc Com Ph Wp Content Uploads 2019 11 Application For Certificate Of Occupancy Pdf

Appointment Letter For Commission Based Agent Hr Letter Formats

Appointment Letter For Commission Based Agent Hr Letter Formats

Http Www Peza Gov Ph Issuances Guidelines Guidelines Ptl Pdf

Http Www Peza Gov Ph Issuances Guidelines Guidelines Ptl Pdf

Https Westwoodps Com Media 1215

Https Westwoodps Com Media 1215

Sample Municipal Compliance Letter

Sample Municipal Compliance Letter

Office Furniture Request Letter For Office Furniture

Office Furniture Request Letter For Office Furniture

Https Www Mhdc Com Rental Production 2014 Fy Items Documents Sample Zoning Letter Pdf

Https Www Mhdc Com Rental Production 2014 Fy Items Documents Sample Zoning Letter Pdf

Pin On Job Hunting

Pin On Job Hunting

Nashville Codes Administration Construction And Permits Building Permit Process Use And Occupancy Letter

Nashville Codes Administration Construction And Permits Building Permit Process Use And Occupancy Letter

Letter Of No Objection Applications Fontan Architecture

Letter Of No Objection Applications Fontan Architecture

School Transfer Letter How To Write Format Sample Letters

School Transfer Letter How To Write Format Sample Letters

Free 54 Request Letter Templates In Ms Word Google Docs Pages Pdf

Free 54 Request Letter Templates In Ms Word Google Docs Pages Pdf

Check Out 30 Of The Coolest Eagle Scout Letters I Ve Seen Bryan On Scouting

Check Out 30 Of The Coolest Eagle Scout Letters I Ve Seen Bryan On Scouting

Https Www Mytwinsburg Com Documentcenter View 881 Board Of Zoning Appeals Application

Https Www Mytwinsburg Com Documentcenter View 881 Board Of Zoning Appeals Application

Sample Request Letter Template For Admission In School College

Sample Request Letter Template For Admission In School College

Certificate Of Occupancy Wikipedia

Certificate Of Occupancy Wikipedia

Https Schertz Com Documentcenter View 1532

Https Schertz Com Documentcenter View 1532

Random Posts

  • Unpaid Leave Leave Request Letter Sample
  • Sample Notification Letter To Parents
  • Sample Letter To Prime Minister Of India In Hindi
  • Sample Letter If You Have Any Questions
  • Visa Cancellation Letter Sample Uae